Кабель постоянной мощности СНФ-200
Кабели постоянной мощности СНФ-200
Предназначен для обогрева трубопроводов, резервуаров и технологического оборудования, работающих в условиях повышенных температур и влажности окружающей среды во взрывоопасных зонах, а также в местах, где могут присутствовать коррозионные химические растворы или пары.- Линейное тепловыделение до 40* Вт/м
- Полный набор средств управления и вспомогательных принадлежностей
- Термостойкость до 260 °С
- Выпускается на рабочее напряжение до 450 В переменного тока
Назначение
Нагревательные кабели СНФ предназначены для обогрева трубопроводов, резервуаров, технологического оборудования и других объектовПрименение
Нагре вательные кабели могут использоваться для обогрева оборудования, работающего в условиях повышенных температур и влажности окружающей среды, вовзрывоопасных зонах и в местах, где могут присутствовать коррозионные химические растворы или пары.Конструкция
| Нагревательная жила | медноникелевый сплав, сплав высокогосопротивления |
| Изоляция проводника | фторполимер |
| Оплетка | медная никелированная проволока |
| Наружная оболочка | фторполимер |
ВНИМАНИЕ!
1. Для исключения перегрева нельзя допускать сближение и самопересечение кабеля.
2. Необходимо четко следо вать инструкции по монтажу
Особенности
Серия нагревательных кабелей с изоляцией из фторполимера разработана для использования в тех случаях, когда требуется высокая рабочая температура и высокая мощность тепловыделения.Оболочка из фторполимера позволяет использовать кабель во влажных и химически агрессивных средах.
Поставляется в виде готовых нагревательных секций с установочными проводами и муфтами.
Секции так же могут собираться на объекте на основе проектной документации из комплектующих, поставленных производителем.
Монтаж на гревательных секций на объектах за нимает мало времени и технологически прост.
Для ускорения монтажа прилагаются специальные соединители и другие аксессуары.
Подробности сертификации
№ ЕАЭС RU C-RU.АЖ58.В.03777/23№ № ЕАЭС N RU Д-RU.PA01.B.87666/20
№ IECEx CCVE 18.0004X
№ IECEx CCVE 18 0005U
№ CML 19ATEX3498U
№ CML 19ATEX3499Х
Дополнительные изделия (заказываются отдельно)
Коробки соединительные серии РТВ 405, РТВ 605Соединители СНФ МФ Крепежные элементы для фиксации кабеля
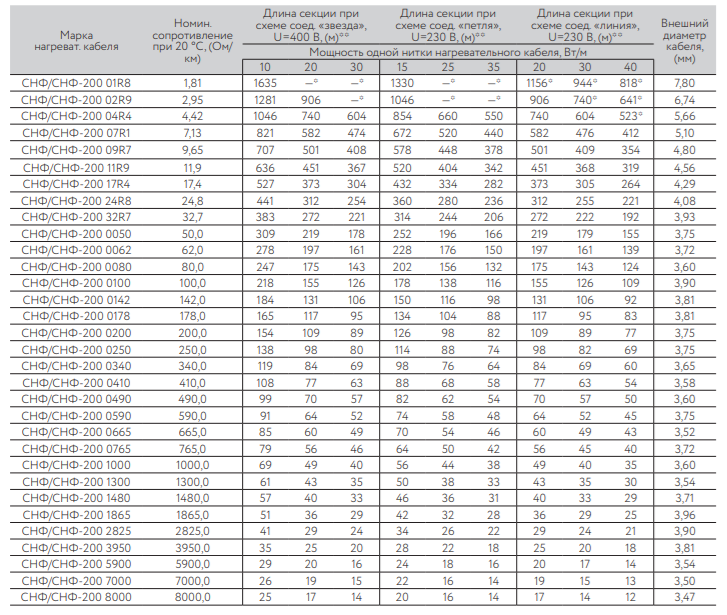
Tехнические характеристики
.png)
Параметры нагревательных кабелей
.png)
* – Данный кабель используется в качестве установочного провода.
** – Данные значения являются ориентировочными, рассчитанными при номинальном сопротивлении в нормальных условиях. Фактическое значение длин секций при проектировании системы электрообогрева определяется с учетом рабочих параметров
Соединители СНФ МФ
- Высокая механическая прочность и надежность конструкции системы
- Быстрый и простой монтаж
- Высокая химическая стойкость
- Термостойкость до 260 °С
- Взрывобезопасность
- Напряжение питания до 450 В
Применение
Соединитель СНФ МФ предназначен для соединения среднетемпературных нагревательных кабелей марок СНФ с установочными проводами, а также нагревательных кабелей между собой.Особенности
Конструкция соединителя обеспечивает надежную работу нагревательной секции.Корпус изготовлен из прочного термопластичного материала, выдерживающего экстремально высокие температуры.
Монтаж соединителей занимает мало времени, не требует специального оборудования.
Термоусаживаемые трубки обеспечивают электрическую защиту
Варианты исполнения
| СНФ МФ-03-01-1 | Соединитель для соединения нагревательных кабелей и установочных проводов сечением меньше 4 мм2 и для соединения двух кабелей |
| СНФ МФ-05-00-1 | Соединитель для соединения нагревательных кабелей и установочных проводов сечением свыше 4 мм2 и до 10 мм2 |
| СНФ МФ-05-01-1 |
Соединитель для соединения нагревательных кабелей сечением 6 и 10 мм2 , а также для их ремонта |
Конструкция
| Корпус | высокотемпературный термопласт |
| Втулка | высокотемпературный термопласт |
| Цанга | сплав алюминия |
| Уплотнение | кремнийорганическая резина |
| Термоусаживаемая трубка | фторполимер |
Tехнические характеристики
| Максимальная рабочая температура | 260 °С |
| Максимально допустимая температура без нагрузки | 260 °С |
| Диапазон температур окружающей среды | -70…+55 °С |
| Минимальная температура монтажа | -70 °С |
| Максимальное сечение жилы установочного провода | до 10 мм2 |
| Напряжение питания | до 450 В |
|
Максимальный ток СНФ МФ-03-01-1 СНФ МФ-05-00-1 СНФ МФ-05-01-1 |
до 50 А до 90 А до 100 А |
| Ех-маркировка |
Ex 60079-30-1 IIC T6...T2 Gb X Ex 60079-30-1 IIIC T85°С...T260°С Db X |
| Степень защиты | IP67 |
Подробности сертификации
№ ЕАЭС RU C-RU.АЖ58.В.03777/23№ ЕАЭС N RU Д-RU.РА01.В.87666/20
№ IECEx CCVE 18.0004X
№ CML 19ATEX3499Х
Информация для заказа
Параметры нагревательных кабелей
.png)

.png)